DNAの構造【薬剤師国家試験110回問104】
hachi
Hachi薬
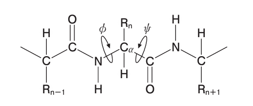
図はタンパク質中のペプチド結合を表したものである。以下の記述のうち、正
しいのはどれか。2つ選べ。


答えは1と3。
選択肢2が分からなくても消去法で解ける。
2
⇒(n+4)番目。
その内、再出題される可能性があるので出来れば覚えておこう。
4
⇒二次構造(α-ヘリックス・βシート)には水素結合が関与する。
5
⇒ペプチド結合の存在により分子が同一平面上に存在する為、
結合角度は制限される。