水道水の試験法【薬剤師国家試験100回問136】
hachi
Hachi薬
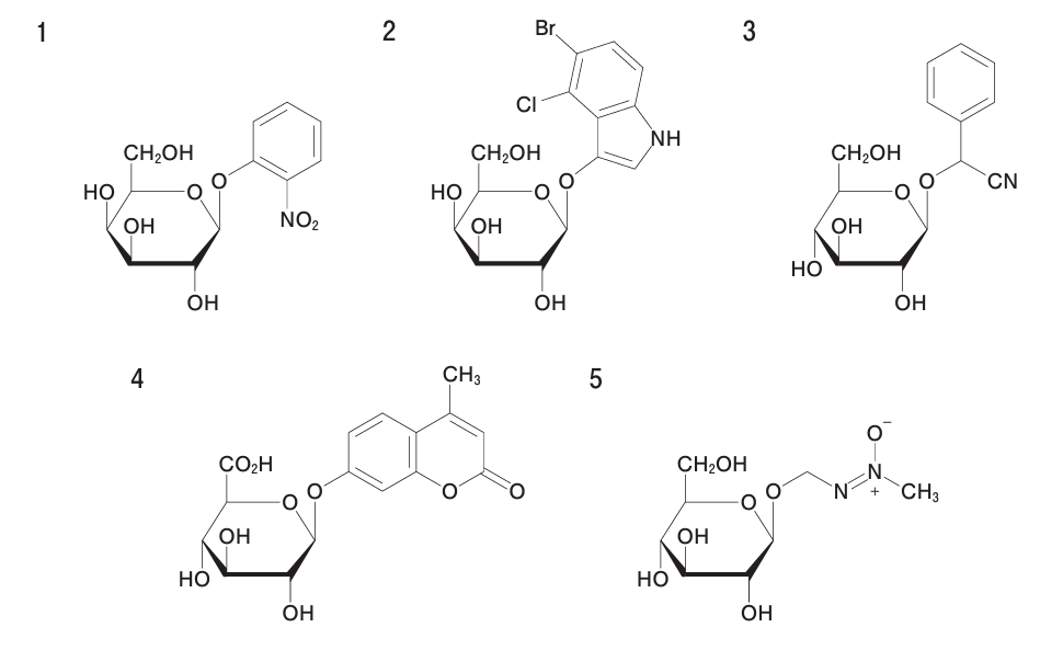
水道水質基準の基準項目に定められている大腸菌を特異的に検出するための基質はどれか。
1つ選べ。

答えは4。
4は4-メチルウンベリフェリル−β−D−グルクロニド(MUG)の構造。
大腸菌のβ-グルクロニダーゼがMUGを分解し
グルクロン酸と4−メチルウンベリフェロン(青色色素)を生じる。
1のo−ニトロフェニル−β−D−ガラクトピラノシド(ONGP)は大腸菌群の検出に用いられる。
大腸菌群のβ−ガラクトシダーゼがONGPを分解し
β−D−ガラクトースとo−ニトロフェノール(黄色色素)を生じる。
因みに100回の類題
