hachi
このサイトは商品プロモーション(Amazonアソシエイト含む)を掲載しています。
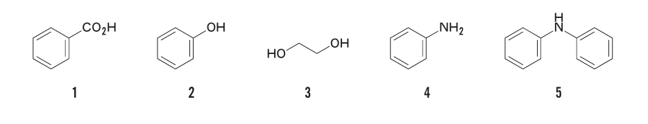
有機化合物1~5がそれぞれ100mg溶解しているジエチルエーテル(エーテル)溶液100mLについて、エーテルと同体積の各水溶液を用いて、分液ロートによる以下の抽出操作を行った。
主としてエーテル層Aに含まれる有機化合物はどれか。1つ選べ。
Q
- 解答・解説
-
答えは5。
3のエチレングリコールは中性だが水溶性が高い為、
最初の分離操作で安息香酸と共に水層に移る。
5のジフェニルアミンはNがあるがアニリンより脂溶性が高い為、
塩酸と反応するのはアニリン。
以上を踏まえると図のようになる。
安息香酸(カルボン酸)とフェノールを分離するためにはNaOHではなく重曹が適切。
仮に最初の操作でNaOHを用いてしまうと安息香酸とフェノールが両方塩になって
分離が出来なくなってしまう。
110回に類題が出ている。
解答はこちら
98回にも出題あり
解答はこちら
ABOUT ME

・106回薬剤師国家試験現役合格⇒76%(264/345)
・国試模試で化学全国23位
・Xフォロワー1,400人
・Threadsフォロワー18人
・ブログ約180記事
・国試の年に日本化粧品1級、アロマテラピー検定1級取得