薬剤師国家試験110回問103
hachi
Hachi薬
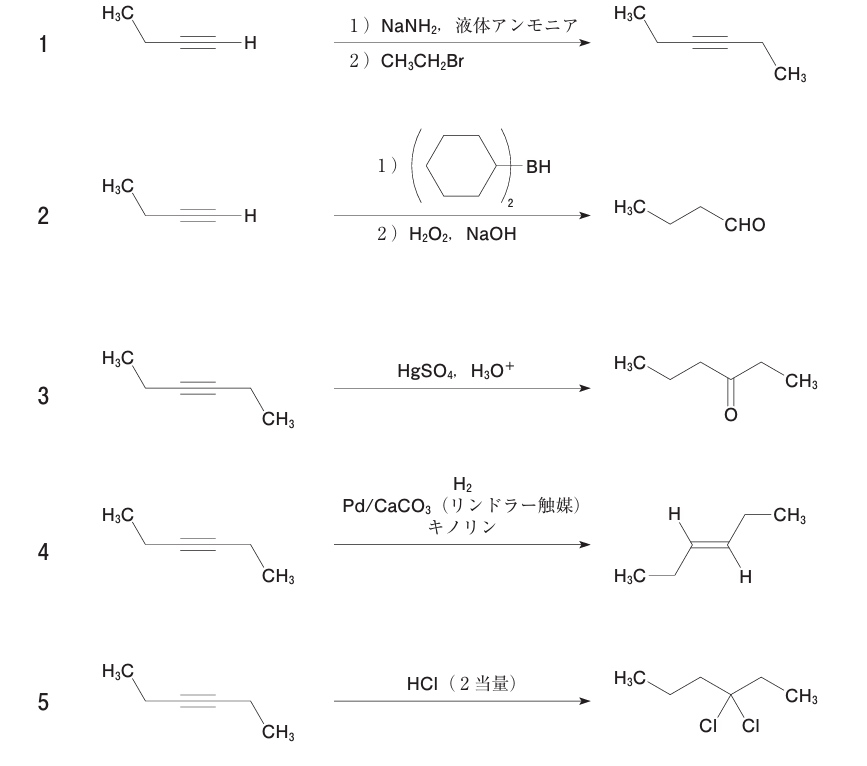
以下の反応式のうち、右に示された主生成物が誤っているのはどれか。1つ選べ。
ただし、各反応はそれぞれ適切な溶媒を用いて行い、反応終了後、適切な後処理を施したものとする。

答えは4。
1

2

3

4
⇨リンドラー還元ではcisアルケンが生成する。

覚え方↓

因みにバーチ還元ではtrans-アルケンが生成する。
「リンドラ―触媒⇨cis-アルケンの生成」が覚えられれば
わざわざバーチ還元を無理して覚えなくてもテストは問題ないだろう。