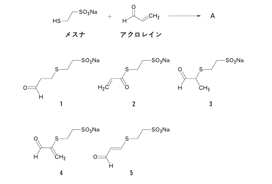
2026.01.28 反応 PR メスナとアクロレインの反応【薬剤師国家試験102回問207】 hachi このサイトは商品プロモーション(Amazonアソシエイト含む)を掲載しています。 メスナは、イホスファミドの代謝物であるアクロレインと反応し、化合物Aを生成する。化合物Aの構造式として正しいのはどれか。 1つ選べ。 Q解答・解説 答えは1。 メカニズム↓ ポイント ケトーエノールの安定性 脂肪族:ケトン(C=O)が安定。芳香族:ーOHが安定。 メスナがアクロレインのメチレン期と反応する理由↓ 他の化学反応の問題はこちらから 内容が役に立ったらリツイートお願いします。ブログ更新の励みになります。 役に立ったらシェア! カテゴリーカテゴリー カテゴリーを選択 OTC (5) Uncategorized (70) アミノ酸 (3) オリジナル問題 (3) パーキンソン病 (3) ビタミン (1) プロドラッグ (6) ラセミ体 (3) 共役系 (1) 制吐薬 (1) 副作用 (1) 勉強方法 (14) 化学 (39) 反応 (7) 医薬品化学 (10) 大学生活 (4) 官能基 (2) 実習 (1) 抗ウイルス薬 (3) 抗がん剤 (2) 抗ヒスタミン薬 (3) 物理 (9) 分析方法 (4) 生化学 (3) 生物 (5) 染色法 (2) 遺伝子 (1) 病態 (10) ネフローゼ症候群 (1) パーキンソン病 (1) 乳癌 (3) 潰瘍性大腸炎 (1) 統合失調症 (1) 統計 (1) 腹痛 (1) 遺伝子治療 (1) 白金製剤 (2) 確認試験 (2) 立体化学 (1) 薬剤 (6) 薬物動態 (7) トランスポーター (6) 薬物間相互作用 (17) 薬理 (31) H2ブロッカー (1) NSAIDs (4) スタチン (3) ホルモン剤 (3) 副作用 (2) 局所麻酔薬 (1) 抗うつ薬 (1) 抗がん剤 (5) 抗生物質 (1) 禁煙補助薬 (2) 糖尿病 (1) 血液凝固 (3) 衛生 (11) 化管法 (1) 抱合反応 (2) 試験法 (3) 製剤 (2) 粉体 (1) 覚え方 (5) 計算問題 (2) 過去問まとめ (10) 酸化数 (1) 酸性度・塩基性度 (23) アーカイブ アーカイブ 月を選択 2026年2月 (3) 2026年1月 (30) 2025年12月 (10) 2025年11月 (1) 2025年10月 (1) 2025年9月 (11) 2025年8月 (1) 2025年7月 (6) 2025年6月 (26) 2025年5月 (5) 2025年4月 (15) 2025年3月 (75) 2025年2月 (5) 2025年1月 (6) 検索検索 ABOUT ME ハチ薬剤師XInstagramContact・106回薬剤師国家試験現役合格⇒76%(264/345) ・国試模試で化学全国23位 ・Xフォロワー1,400人 ・Threadsフォロワー18人 ・ブログ約180記事 ・国試の年に日本化粧品1級、アロマテラピー検定1級取得