バレニクリンの塩基性に関する問題【薬剤師国家試験107回問210,211】
hachi
Hachi薬
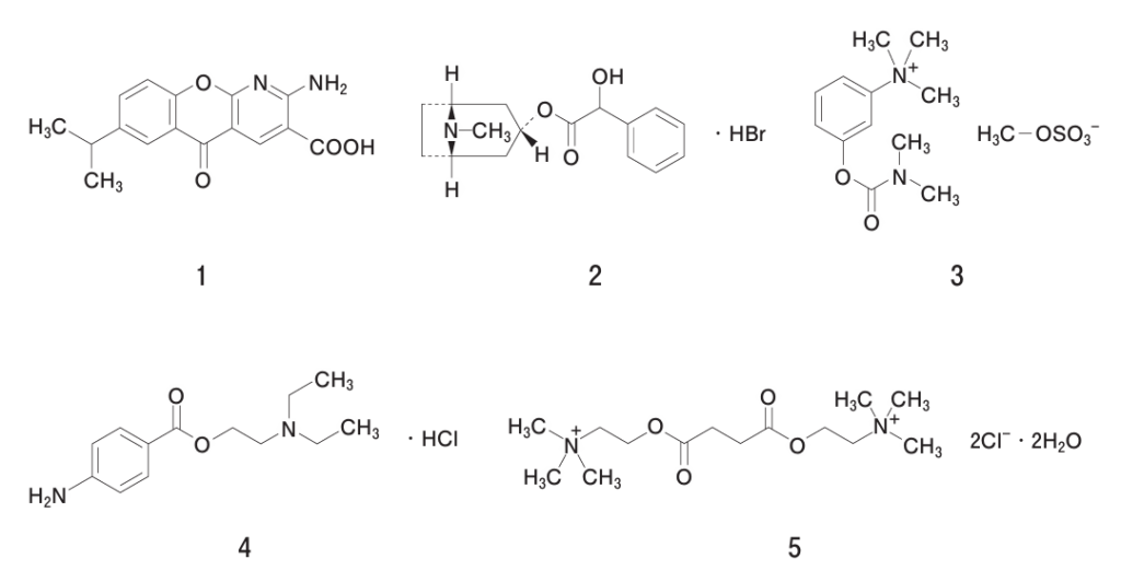
コカインの化学構造を基に創出された局所麻酔薬はどれか。1つ選べ。

答え:4
局所麻酔薬と問われているので、4のプロカインが適切。
コカインから創られたかどうか知らなくても構造知ってれば解ける問題。
考え方
4-アミノ安息香酸エチルが麻酔であると知っていれば、4が似た構造であることに気づけば解ける。

参考までにコカイン⇒プロカイン創製を確認しておこう。
(下図)

選択肢の構造は以下の通り。
1 アンレキサノクス
2 ホマトロピン
3 ネオスチグミン
5 スキサメトニウム