イミダゾールを含む医薬品【薬剤師国家試験106回問104】
hachi
このサイトは商品プロモーション(Amazonアソシエイト含む)を掲載しています。
次の反応と生成物に関する記述のうち、正しいのはどれか。1つ選べ。


- 解説・解説
-
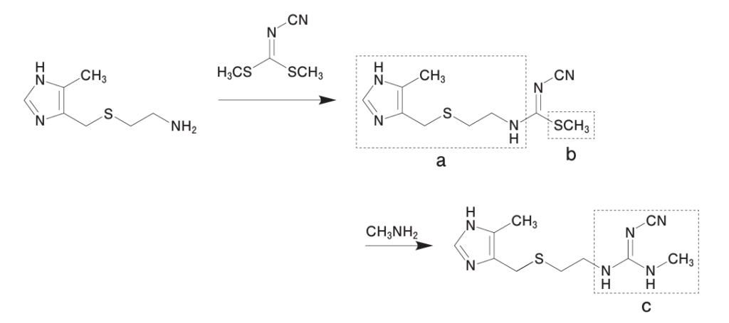
答え:2(シメチジンの合成反応)
2
⇒まずは問われていることを整理しよう。aよりもbの方が共役酸が小さい
=bの方が酸性度が高いか問われている。S原子はd軌道があるのでNよりも電子を収容できるスペースが大きいので、電子の非局在化が進行しやすい。
よってS原子を持つbの部分構造の方がaよりも酸性度が高い(pKaが小さい)。
3
⇒そもそもCH3NH2は水素と反応していない為、塩基ではない。
また今回、CH3NH2は求核剤として働いている。4
⇒シアノ基は電子吸引性基。
5
⇒部分構造cにはシアノ基が存在するため、窒素原子上の電子密度が下がるのでグアニジンよりも塩基性は低くなる。
関連記事
【7割取れる!】薬剤師国家試験の化学勉強法
Q
ABOUT ME

