hachi
このサイトは商品プロモーション(Amazonアソシエイト含む)を掲載しています。
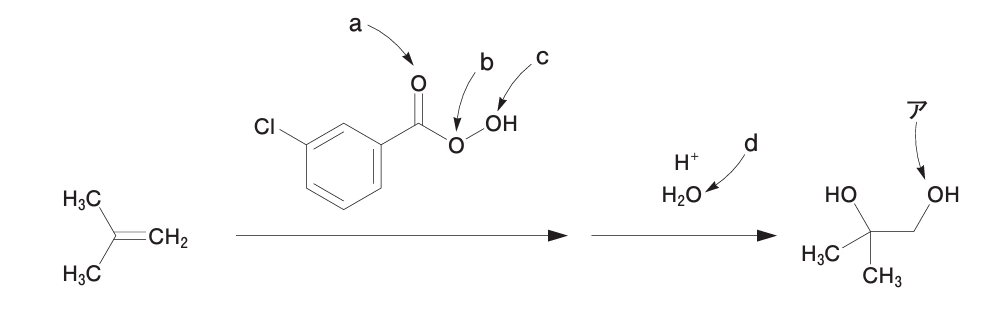
以下の反応で得られる化合物の酸素原子アに関する記述のうち、正しいのはどれか。1つ選べ。
Q
- 解答・解説
-
答えは3。
- mCPBAの末端の酸素がエポキシド形成に関わる。
- カルボカチオンの安定性を理解してないと解けない。
メカニズム↓
他の化学反応問題はこちら
ABOUT ME

・106回薬剤師国家試験現役合格⇒76%(264/345)
・国試模試で化学全国23位
・Xフォロワー1,400人
・Threadsフォロワー18人
・ブログ約180記事
・国試の年に日本化粧品1級、アロマテラピー検定1級取得