オメプラゾールは塩基性?酸性?【薬剤師国家試験105回問199】
hachi
Hachi薬
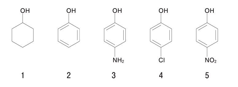
以下の化合物のうち、最も酸性度が高いのはどれか。1つ選べ。

答えは5。
1:シクロヘキサノール
2:フェノール
3:p-アミノフェノール
4:p-クロロフェノール
5:p-ニトロフェノール
4か5で迷うが、ニトロ基が電子吸引性基なのでp-ニトロフェノールの共鳴数が一番多くなる。
よって、正解は5。
因みに選択肢3のp-アミノフェノールに無水酢酸を加えてアセチル化するとアセトアミノフェンが得られる。